A mode of vibration in a piezoelectric disk in which all particle motions are perpendicular to the axis of symmetry of the disk. It does not contribute to the desired acoustic output of the transducer. Therefore, it is regarded as a parasitic oscillation.
An ultrasound image obtained by the 360° rotation of the beam of an endocavitary transducer.
Related term: endoscopic sonography
A method of orienting and describing the plane of view in breast sonography in which the scan plane is centered on the nipple and is parallel to the chest wall. In radial scanning, the location of an anatomic structure is specified by the radial distance and direction from the nipple and the distance beneath the skin.
Related term: Contrast with antiradial scanning
Measure of an angle, expressed as the ratio of the arc length to the radius of a circle. A full circle contains 2π radians; 1 radian = 360°/2π = 57.3°.
Total area of the transducer(s) that transmits or receives the ultrasonic radiation.
The beam cross-sectional area at and parallel to the transducer face consisting of all points where the acoustic pressure is greater than 10% of the maximum acoustic pressure in that plane. The area of the active element of the transducer assembly may be taken as an approximation for the radiating cross-sectional area.
The emission and propagation of waves transmitting energy through a medium.
Ratio of sound power radiated by a plate of a given area vibrating with a given root mean square velocity over the area to that power that would be emitted as a plane wave by a plate of the same area vibrating in phase with the same vibration velocity.
The constant unidirectional force exerted on an interface by an incident wave. The force results from the transfer to the second medium of momentum carried by the wave to the interface. The unit is newton (N).
See acoustic radiation force
Related term: acoustic radiation pressure
A device used to measure the acoustic radiation force and determine the output power generated by an ultrasound source.
Related term: acoustic radiation force
In decibels (dB), 10 times the logarithm to the base 10 of the radiation factor.
A frequency within the range used in radio broadcasting, namely 10 kHz to 100,000 MHz. In ultrasonics, radiofrequency refers to the frequency(ies) of either the electrical drive signal applied to the transducer or the frequency(ies) of acoustic pressure waves or measurements of these signals converted to electrical signals.
A quantitative measure of a curvature. The radius of curvature of a curve is equal to the radius of the circle whose curvature best approximates that of the curve. For ultrasound, the curve is usually the curved surface of a convex or concave array or a transducer lens.
A linearly time-varying waveform. For example, the linear time base for an oscilloscope is generated by a ramp.
Related term: time-gain compensation
An information storage device that permits direct storage and retrieval of any bit of the information. This is a type of memory used in digital computers and scan converters.
Noise due to the aggregate of a large number of elementary disturbances with random amplitudes and occurrences in time.
Related term: noise
See depth.
See dynamic range.
A means of selecting an ultrasonic signal according to its depth along the ultrasonic beam by gating the signal with an appropriate time delay and time window.
Related term: range gating
An electronic process employing a range gate.
Related term: range gate
See axial resolution.
When a sound beam passes through a medium, localized regions of the medium are alternately compressed and expanded. The expanded regions are called rarefactions.
A method of displaying or capturing images line by line, from top to bottom, left to right. or in a zigzag pattern. This technique is used in various technologies like CRT displays, modern displays, and even in techniques like scanning electron microscopy and radiation therapy. Also known as raster scanning.
Unit of acoustic impedance; 1 rayl = 1 kg · m–2 · s–1 . A typical value of soft tissue acoustic impedance is 1.6 Mrayl. The term is named in honor of Lord Rayleigh.
A model for a bubble in which it is assumed that an empty spherical cavity exists within a liquid for which the pressure at infinity is greater than zero and that the cavity remains empty as it contracts from its initial size.
See Rayleigh length.
For a given longitudinal plane, the equivalent area of the ultrasonic transducer aperture width divided by the effective wavelength.
Related terms: Rayleigh distance; contrast with transition distance
The name given to the reradiation of waves by a target or targets much smaller than the wavelength of the incident radiation. Red blood cells are Rayleigh scatterers to ultrasound. The intensity of ultrasound scattered back to the transducer by the Rayleigh process is proportional to the fourth power of frequency.
Related terms: intermediate scattering; contrast with diffusive scattering, specular scattering
Surface wave associated with the free boundary of a solid or liquid such that a surface particle describes an ellipse whose major axis is normal to the surface and whose center is situated on the initially undisturbed surface. Note: At maximum particle displacement away from this initially undisturbed surface, the motion of the particle is opposite to that of the wave. The propagation velocity of a Rayleigh wave is slightly less than that of a shear wave in the solid. The wave amplitude of the Rayleigh wave diminishes exponentially with depth.
The imaginary part of impedance. The unit is ohm (Ω).
An information storage device that permits retrieval but does not permit storage of new information.
Process of magnifying the displayed image data stored within the scan converter memory as these data are read out to the monitor. The stored image data from pixels within the region of interest are expanded to fill the whole screen on the viewing monitor.
Related term: write zoom
In mathematics, the first of the two numbers comprising a complex number.
Related terms: complex number, imaginary number
See real-time display.
See contrast-enhanced sonography.
The scanning and display of ultrasonic images at a sufficiently rapid rate that moving structures can be perceived to move at their natural rate. Frame rates of 10 frames per second or greater are considered real-time.
An ultrasound system providing an update of ultrasound images at frame rates of 10 frames per second or greater.
The active surface of an array or transducer through which ultrasound signals can be received and recorded.
A receive beamformer processes the waveforms arriving at each transducer element to enhance the combined output of all active elements.
Related terms: beamformer, delay and sum beamformer, transmit beamformer
See beam pattern.
The focal point of an ultrasound transducer during echo reception. For a single-element transducer, this is the same as the transmit focus. For instruments using transducer arrays, the receive focal point is controlled electronically using time delays and usually changes dynamically during echo reception.
Related term: dynamic focusing
The amplification of a signal by a receiver.
Related term: gain
A transducer that can receive sound. In most continuous wave systems, both a transmitting transducer and a receiving transducer are used. In most pulse-echo systems, the same array acts as a transmitter and a receiver of ultrasound; but the transmit active aperture may differ from the receive active aperture.
related terms active element, active transducer aperture
A physical principle stating that transmission characteristics of any sound path are the same in either transmission or reception. One application of this concept is that the directivity pattern of a plane piston acting as a transmitting transducer is identical to its directivity pattern when it is acting as a receiving transducer. Because of reciprocity, it is possible to calibrate the absolute sensitivity of a transducer for both transmission and reception. The same principle applies to transducer arrays as long as the active aperture, focusing, steering parameters, and electrical loading are the same on transmit and receive.
For a reciprocal electroacoustic transducer, at a specified frequency, the ratio of the voltage sensitivity of the transducer used as a sound receiver to the current sensitivity of the transducer used as a sound emitter.
See reciprocity coefficient.
The effect of continuous circulation of blood through the pulmonary and peripheral circulation. In contrast- enhanced sonography, microbubbles circulate through the lungs several times before vanishing, and this allows sonographic scanning for several minutes. However, this phenomenon may impede functional studies because the recirculated microbubbles interfere with building of a pure time-intensity curve.
A multielement transducer array of M by N elements in a matrix pattern. Note a one dimensional array is rectangular in shape because the elements are rectangular but it is not considered to be a multielement array because it operates as a linear or phased array.
Related terms: matrix, matrix array, matrix element
The rectangular-shaped image pattern resulting from a sequentially fired linear transducer array.
The process of converting alternating current (AC) to direct current (DC). For example, rectification is done in power supplies, where AC line current is converted to DC power needed for computers, digital circuits, etc. Both full-wave rectifiers and half-wave rectifiers are in use (see Figure 11). Rectification also is a step in some older forms of echo signal envelope detection, where radiofrequency signal waveforms were first rectified and then filtered, yielding an approximation of the envelope. In current systems, envelope detection is more commonly done using digital signal processing (see igure 11).
Related terms: analytic signal envelope, envelope
An in vivo phenomenon wherein the erythrocytes within small blood vessels stop flowing and collect in the nodes of a standing wave field. This phenomenon does not occur with pulsed diagnostic ultrasound systems.
For systems with scanning modes, the direction normal to the beam axis and parallel to the direction of the maximum –6-dB pulse beamwidth.
Related terms: beam alignment axis, beam axis, beamwidth
Pressure conventionally chosen equal to 20 µPa in air and 1 µPa in water.
See pulse echo.
Change in the amplitude, phase, and direction of propagation of a wave that is propagating in one medium when it encounters a large (compared to wavelength) interface with another medium of different acoustic properties. The amplitude of the reflected wave is proportional to amplitude reflection coefficient. The angle of reflection equals the angle of incidence.
Related terms: angle of incidence, angle of reflection, angle of refraction, critical angle, refraction, reflection coefficient
The ratio, r, of the reflected to the incident wave pressure amplitudes for normal incidence on a smooth planar interface between two media; r = (Z2 – Z1)/(Z2 + Z1), where Z1 and Z2 are the characteristic acoustic impedances of the first and second media, respectively. A negative value for r indicates a change in the polarity of the reflected wave with respect to the incident wave.
Related term: characteristic acoustic impedance
The ratio, R, of the reflected to the incident wave intensities for normal incidence on a smooth planar interface between two media; R = (Z2 – Z1)2/(Z2 + Z1)2, where Z1 and Z2 are the characteristic acoustic impedances of the first and second media, respectively. The value of R is always between 0 and 1.
Related term: characteristic acoustic impedance
A technique that makes use of the reflected acoustic energy to produce the image. Also called echo ranging.
Related term: Contrast with transmission imaging
The phenomenon of reflection of a wave by a smooth surface that is large relative to the wavelength where the reflected angle is equal to the incident angle.
The capability of reflecting sound.
Backward flow.
The change of direction of propagation of a sound wave when it passes from one medium to another in which the sound speed is different or when there is spatial variation in a medium’s sound speed (see Figures 6 and 22).
That part of the transmission loss due to refraction resulting from the resultant diversion of sound from the intended transmission direction in the second medium at a boundary. In those cases where the incident angle exceeds the critical angle in the first medium, energy can be lost to evanescent waves in the second medium.
Related terms: angle of incidence, angle of reflection, critical angle, evanescent wave
The ratio of the speed of sound within an object to the speed in some reference material.
Backward flow through an incompetent opening: eg, retrograde flow of contrast-enhanced blood from the right atrium to hepatic veins.
A nonlinear signal-processing technique intended to improve the apparent signal-to-noise ratio by eliminating low- amplitude signals from a display. This technique retains stronger echoes at the expense of noise and weaker echoes.
Sensitivity under a particular condition relative to sensitivity under a stated reference condition.
A process in which a physical system approaches a steady state after conditions affecting it have been suddenly changed and slowly decays.
The polarization remaining in a ferroelectric material after any externally applied electric field is removed.
With steady flow, the resistance is the ratio of the pressure drop to the flow rate.
An index of pulsatility defined as the difference between the maximum and minimum Doppler shifts divided by the maximum. Also known as the Pourcelot index.
A measure of the ability of a system to display distinguishable images of two closely spaced point structures as discrete targets. It is expressed as the minimum distance between two objects that can be distinguished as separate entities.
Related terms: azimuthal resolution, lateral resolution, axial (longitudinal) resolution, elevational resolution, resolution (temporal)
The smallest time interval between two successive events that allows the identification of each event as a separate entity. High frame rates improve temporal resolution; eg, 60 frames per second and higher are used to provide sufficient temporal resolution to depict ventricular wall motion in a beating heart accurately.
See temporal resolution.
A phenomenon exhibited by a physical system acted on by an external periodic driving force, in which the resulting amplitude of oscillation of the system becomes large when the frequency of the driving force approaches a natural free oscillation frequency of the system.
A frequency at which some measure of the response of a physical system to an external periodic driving force is a maximum.
Of a device or system, the motion, or other output, that results from a stimulus (excitation) under specified conditions. The kinds of input and output being used must be indicated.
The phenomenon of multiple reflections within a closed system. This phenomenon causes echoes to be misplaced, thereby presenting false information (see Figure 23).
For a sound of a given frequency or frequency band trapped in an enclosure, the time for the sound pressure level in the enclosure to decrease by some specified amount, after the sound source has been stopped
A number expressing the balance of inertial and viscous forces acting on a flowing fluid. Reynolds numbers higher than a critical value result in disturbed or turbulent flow.
The increased resistance to flow offered by a fluid in turbulence, which has its origin in viscous forces resulting from chaotically oriented velocity gradients.
A model used to study the flow of matter, primarily in a liquid state, but also in soft solids, under conditions in which they become deformed when subjected to stress.
The scientific study of the flow of liquids and deformable solids.
Moving conductor microphone in which the conductor is a thin ribbon and is driven directly by the sound waves.
The property of resisting a change in shape.
Mostly related to contrast imaging. An appearance where contrast outlines only the outer edge of a structure, making the border hyperechoic (brighter) than the center. The first stage after contrast injection, when the contrast highlights the fast-flowing vessels supplying blood into a lesion, often showing early brightening at the edges of structures.
Mostly related to contrast imaging. An appearance where contrast outlines only the outer edge of a structure, making the border (hyperechoic) brighter than the center. The later stage after contrast injection, when the contrast has moved into the slower-flowing vessels that drain blood back toward the heart, often showing more uniform filling or progressive fading.
See rim enhancement.
See transducer ring-down.
See dead zone.
Interval between the time of the main transmission pulse and the time when after-ringing falls below 10% (–20 dB) of the amplitude of the main pulse.
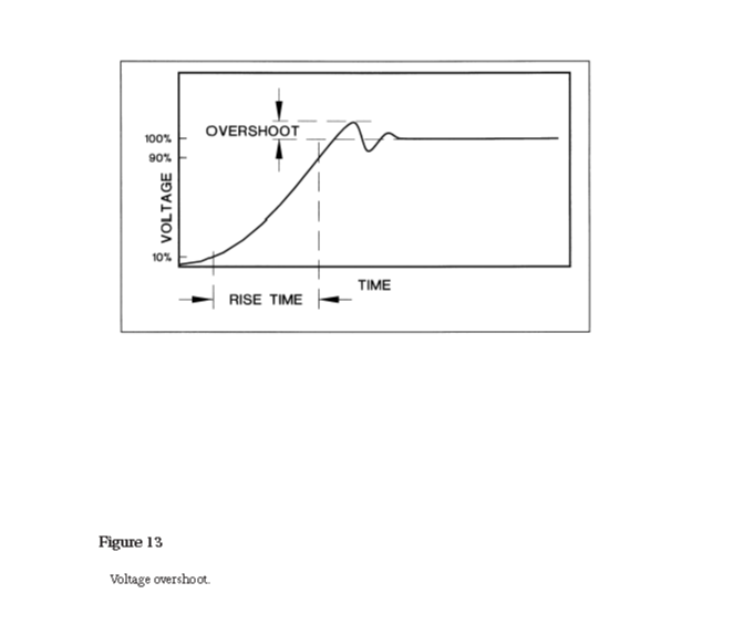
The amount of time required for the amplitude of a pulse or echo to increase from 10% to 90% of its peak value (see Figure 13).
Abbreviation for root mean square.
The root mean square of the instantaneous acoustic pressure at a particular point in an acoustic field. The mean should be taken over an integral number of acoustic repetition periods unless otherwise specified. The unit is pascal (Pa).
ROM
Abbreviation for read-only memory.
An average of a time-varying signal in which negative portions of the signal do not cancel out the positive portions. It is the square root of the mean squared value of the signal, ie,

where v(t) is the instantaneous value of the signal, and T = (t2 – t1) is the time over which the signal is averaged.
The time taken for an ultrasound pulse to travel from a transducer to an internal structure and return to the transducer as an echo.
A two-dimensional transducer array is constructed from two overlapping elongated orthogonal arrays. Transmission is either on rows or columns and reception is on the orthogonal array. Since there are M rows oriented along the x axis and N rows along y, each with an electrical connection, there are a total of M+N electrical connections. Coverage is over the two dimensional area of the array and it is really the overlapping of the transmitted beam and receive beam that form the image rather than the geometric overlapping of the apertures.
Related terms: 1-dimensional linear array, 1.25-dimensional array, 1.5-dimensional array, 1.75-dimensional array, 2-dimensional array.